নির্বাচিত পোস্ট | লগইন | রেজিস্ট্রেশন করুন | রিফ্রেস

আমি কেউ নই।কোথাও কেউ নাই। শুধু শূন্য। মহাশূন্য।\n

রেফায়েত প্রধান

পরিচয় খুঁজে পাওয়ার চেষ্টা করছি । খুঁজে পেলেই জানিয়ে দেব।

রেফায়েত প্রধান › বিস্তারিত পোস্টঃ

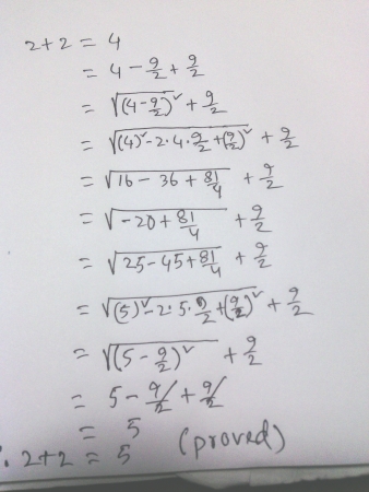
অঙ্ক

২০ শে মে, ২০১৫ রাত ১২:১৯


,
,
,
অঙ্কটা ক্যামনে হইলো!!! ভূল হইছে কোথায়? বলেন তো দেখি,,,,

মন্তব্য ৪ টি রেটিং +০/-০

মন্তব্য (৪) মন্তব্য লিখুন

১| ২০ শে মে, ২০১৫ রাত ২:৩৪

জাহিদুল ইসলাম ২৭ বলেছেন: নিচ থেকে ৩য় লাইন।৫-৯/২ লিখলেন কেন?৯/২-৫ লিখলেন না কেন। আগে সেটা বলেন।

২| ২০ শে মে, ২০১৫ রাত ২:৪৯

গুরুভাই বলেছেন: √(x^2 )≠x

এইটাই প্রধান কারন ।

৩| ২০ শে মে, ২০১৫ রাত ২:৫৮

গ্রহান্তরের বাসিন্দা বলেছেন: বর্গমূল চিহ্ন দিলে প্লাস মাইনাস দুই ধরণের উত্তর আসতে পারে। ৩ নাম্বার লাইনে আপনি যে হুট করে বর্গমূল দিয়ে স্কয়ার করলেন তাতে বিয়োগ চিহ্ন বসবে। কিন্তু আপনি যোগ চিহ্ন দিয়েছেন। অংকটা এই জন্যই ভুল হয়েছে।

৪| ২১ শে মে, ২০১৫ সকাল ৯:১৪

রেফায়েত প্রধান বলেছেন: ভূল ধরার জন্য সবাই কে ধন্যবাদ

আপনার মন্তব্য লিখুনঃ

মন্তব্য করতে লগ ইন করুন

আলোচিত ব্লগ


full version

©somewhere in net ltd.