| নির্বাচিত পোস্ট | লগইন | রেজিস্ট্রেশন করুন | রিফ্রেস |
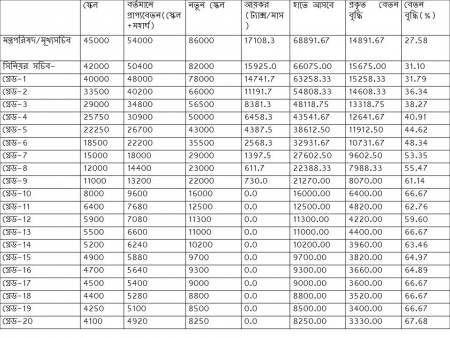
বর্তমান সময়ে সবচেয়ে আলোচিত বিষয় হচ্ছে বেতন বৃদ্ধি। তবে এর মধ্যে যে শুভংকরের ফাকি আছে এই কথাটি অনেকে হয়তো জানেন না।আসলে উপরের কর্মকর্তারা বেতনের সুফল কতটুকু পাবেন তা আসলে ভাবভার বিষয়। ইতিমধ্যে বেতনবৃদ্ধির অজুহাতে গ্যাস-বিদ্যুত সহ সকল জিনিষের দাম বাড়ানো হয়েছে। নিচে তুলনামুলক বেতন বৃদ্ধির বিশ্লেষন করা হলো।
বর্তমানে মহার্ঘভাতা নামে একটি ভাতা চালু রয়েছে যা বেতনের সাথে দেওয়া হয়। নতুন স্কেল চালু হলে এই ভাতা বন্ধ হয়ে যাবে। যেইভাবেই হোক টাকা তো আমাদের হাতে আসতো।ভাতা বলে সেটা বেতন বলে গন্য হয় না।কিন্তু আমরা বেতন হিসাবেই পাই।
আগে সরকারী চাকুরীর বেতনের উপর আয়কর বাধ্যতামূলক ছিল না।এখন আয়কর আইনের ৫০ ধারা সংশোধন করা হয়েছে যা সরকারি চাকুরিজীবিদের জন্য প্রযোজ্য।
১২ মাসের মূল বেতন ও বোনাসের (ঈদ/পূজা + নববর্ষ) টাকা যোগ করে ১২ দিয়ে ভাগ করবেন।( এ হিসাবটা জুলাই মাসে করবেন- এ বছরে এখনই করে ফেলুন)
যেমন কারো মূল বেতন মাসে ৩০ হাজার টাকা হলে তাঁর সারা বছরে বেতন , ২টা উৎসব ভাতা ও নববর্ষ ভাতা(বেতনের ২০%) হবে (৩০,০০০/ গুন ১২ + ৩০,০০০গুন ২+ ৩০,০০০এর ২০%)= ৩,৬০,০০০ +৬০,০০০+৬,০০০)=৪,২৬,০০০
এরপর পুরুষ হলে ২,৫০,০০০টাকা এবং মহিলা হলে ৩,০০,০০০ বাদ দিয়ে যা হবে তাঁর ১০% আয়কর দিতে হবে।
এ টাকাকে ১২ দিয়ে ভাগ করে প্রতি মাসের বেতন বিলে কর্তন করে বেতন উত্তোলন করতে হবে।
সারা বছরের মোট বেতন ও বোনাস ৪ লাখের উপরে হলে অতিরিক্ত অর্থের ১৫% টাকা ট্যাক্স দিতে হবে।
উপরের হিসাব অনুযায়ী - পুরুষকে (৪,২৬,০০০-২,৫০,০০০)=১,৭৬,০০০/টাকার উপরে আয়কর দিতে হবে।
তবে ১,৭৬,০০০ টাকার মধ্যে ১,৫০,০০০ টাকার ১০% ও বাকী ২৬,০০০/ টাকার উপরে ১৫% আয়কর দিতে হবে।
সারা বছরের মোট বেতন ও বোনাস ৫ লাখের উপরে হলে ও ৬ লাখ পর্যন্ত অতিরিক্ত অর্থের ২০% টাকা ট্যাক্স দিতে হবে।
সারা বছরের মোট বেতন ও বোনাস ৬ লাখের উপরে হলে অতিরিক্ত অর্থের ২৫% টাকা ট্যাক্স দিতে হবে।
তাহলে সরকারী চাকুরীজীবিদের হিসাবটা কি দাড়ালো?

০৯ ই সেপ্টেম্বর, ২০১৫ সকাল ৯:৪২
ঘানার রাজপুত্র বলেছেন: ধন্যবাদ ভাই!!!
২|
০৯ ই সেপ্টেম্বর, ২০১৫ সকাল ৯:২৯
মোঃ ইয়াসির রহমান বলেছেন: মূলা দেখাইয়া প্রায় দুই বছর নিছে ( ২০১৪ এর স্কেল ২০১৫ এর শেষ মাথায়, তাও কবে দিবে ঠিক নাই), এতদিনে মূলা তো পঁচারই কথা।আর আমরা তো পঁচা মূলা আগ্রহ নিয়েই খাব, সেই সাথে ভাবব, আহা! কি টাটকা মূলা!
০৯ ই সেপ্টেম্বর, ২০১৫ সকাল ৯:৪৯
ঘানার রাজপুত্র বলেছেন: ভাই আপনি সত্যি কথাই বলেছেন।শুধু কি তাই। বেতন বৃদ্ধির ফলে কতটুকু উপকার হবে তা গবেষনার বিষয়। কিন্তু সারাদেশের মানুষ জানে আমাদের বেতন দ্বিগুন হচ্ছে।বলছে জিনিষপত্রের দাম বাড়বেনা। কিন্তু সরকারইতো আগেই সবকিছুর দাম বেতন বৃদ্ধির আগেই বাড়িয়ে রেখেছে। নতুন করে বাড়ানোর দকার আছেকি? বেসরকারী তে তো কথাই নাই দফায় দফায় জিনিষপত্রের দাম বাড়াচ্ছে।
৩|
০৯ ই সেপ্টেম্বর, ২০১৫ সকাল ৯:৫৬
আমি আবুলের বাপ বলেছেন: এখন জনগনের চামড়া দিয়ে সরকারি কর্মকর্তা-কর্মচারীরা জুতা বানাবেন।[/sb
http://www.somewhereinblog.net/blog/abulerbap/editpost/30068375/blog/0
৪|
০৯ ই সেপ্টেম্বর, ২০১৫ সকাল ১০:২৮
মঞ্জু রানী সরকার বলেছেন: শুভংকরের ফাঁকি। লোক দেকানো পিড়ীত দেখাতে যেয়ে বাজার পরিষ্থিতি বেসামাল করবে।দেখা যাক নিয়ন্ত্রন করে কি ভাবে?
৫|
০৯ ই সেপ্টেম্বর, ২০১৫ সকাল ১০:৩৩
মেমননীয় বলেছেন: তবে ১,৭৬,০০০ টাকার মধ্যে ১,৫০,০০০ টাকার ১০% ও বাকী ২৬,০০০/ টাকার উপরে ১৫% আয়কর দিতে হবে।
আমার মনে হয় যখন আয় ২৫০০০০+৪০০০০০=৬৫০০০০ টাকার বেশী হবে তখন ১৫% আয়কর দিতে হবে।
কোনটি ঠিক?
১। প্রথম ২৫০০০০ টাকা পর্যন্ত আয়কর শুন্য
২। পরবর্তী ৪০০০০০ টাকা পর্যন্ত আয়কর ১০%।
৩। পরবর্তী ৫০০০০০ টাকা পর্যন্ত আয়কর ১৫%।
৪। পরবর্তী ৬০০০০০ টাকা পর্যন্ত আয়কর ২০%।
৫। পরবর্তী ৩০০০০০ টাকা পর্যন্ত আয়কর ২৫%।
৬। পরবর্তী সকল আয়ের উপর আয়কর ৩০%
©somewhere in net ltd.
১|
০৯ ই সেপ্টেম্বর, ২০১৫ সকাল ৮:৫৩
বাকশিয়াল বলেছেন: