নির্বাচিত পোস্ট | লগইন | রেজিস্ট্রেশন করুন | রিফ্রেস

বুনোগান

বুনোগান › বিস্তারিত পোস্টঃ

জীবন চক্র সিস্টেমের উপাদান সমূহ

৩০ শে জুলাই, ২০২৩ সকাল ১০:৫৩

প্রতিটি জীব দেহ প্রধানত চারটি জৈব যৌগ দ্বারা গঠিত। এগুলো হল কার্বোহাইড্রেট, লিপিড, প্রোটিন এবং নিউক্লিক এসিড। এসব জৈব যৌগ আবার কার্বন, অক্সিজেন, হাইড্রোজেন, নাইট্রোজেন ও ফসফরাস এই পাঁচটি মৌলিক পদার্থ দিয়ে তৈরি। আজ থেকে প্রায় সাড়ে তের বিলিয়ন বছর পূর্বে পৃথিবীর সমুদ্রের জলে উপরোক্ত মৌলিক পদার্থগুলো পরস্পর রাসায়নিক বিক্রিয়ায় অংশগ্রহণ করে জৈব যৌগ গঠন শুরু করে।

জৈব যৌগ গঠনের জন্য পানি বা জলীয় পরিবেশ দরকার। জলে অনেক মৌলিক পদার্থের যৌগ দ্রবীভূত অবস্থায় থাকে। জৈব যৌগগুলো থাকে নিমজ্জিত অথবা ভাসমান অবস্থায়। ফলে যৌগ গুলো পরস্পর সংস্পর্শে আসতে পেরে রাসায়নিক বিক্রিয়া বা বন্ধনে জড়াতে পারে। পানির গলনাঙ্ক ও স্ফুটনাঙ্কের ব্যবধান অনেক বেশী, তাই জলে জৈব যৌগের স্থায়িত্বও বেশী। পানির অণুতে পজিটিভ ও নেগেটিভ চার্জ রয়েছে ফলে এরা পরস্পর সংযুক্ত থাকে, আবার জৈব যৌগের চার্জের সাথেও বন্ধনে জড়াতে পারে। এই চার্জ জৈব উপাদান গুলতে শক্তিরও যোগান দেয়। কার্বন হল জৈব যৌগ গঠনের মূল উপাদান। এর পরমাণু চারিটি ভিন্ন পরমাণুকে বিভিন্ন কম্বিনেশনে রাসায়নিক ক্রিয়ায় অথবা বন্ধনে আবদ্ধ করতে পারে। এ গুলি জৈব যৌগ। কার্বন জৈব যৌগের মূল কাঠামো গঠন করে। বিভিন্ন কম্বিনেশনের রয়েছে বিভিন্ন গুণাগুণ। যেমন মিথেন একটি প্রাথমিক কার্বন বন্ধন। বিভিন্ন মৌলিক পরমাণু, অণু বা জৈব যৌগ কিভাবে পরস্পর বন্ধনে লিপ্ত হয়?
সাধারণত চার ভাবে এই সব বন্ধন হতে পারে। ০ আয়নিক বন্ধন, ০ কোভেলেন্ট বন্ধন, ০ হাইড্রোজেন বন্ধন ও ০ পোলার বন্ধন।

যে কোন পরমাণুর কেন্দ্রের নিউক্লিয়াস হল পজিটিভ চার্জ যুক্ত। তার চারিদিকে ঘুর্নয়মান ইলেকট্রনে থাকে নেগেটিভ চার্জ। এই ইলেকট্রনগুলো মূলত রাসায়নিক বন্ধনে মূখ্য ভূমিকা পালন করে থাকে।

০ আয়নিক বন্ধনঃ আয়নিক বন্ধন হল এক ধরনের রাসায়নিক বন্ধন যাতে এক পরমাণু বা অণু থেকে অন্যটিতে ইলেকট্রন স্থানান্তরিত হয়। এখানে, একটি পরমাণু একটি ইলেকট্রন হারায়, যা অন্য পরমাণু দ্বারা অর্জিত হয়। যে পরমাণুগুলি ইলেকট্রন গ্রহণ করে তার মধ্যে একটি ঋণাত্মক চার্জ তৈরি হয় এবং তখন তাকে আয়নিক বলা হয়।অন্য পরমাণু একটি ধনাত্মক চার্জ প্রকাশ করে এবং একে ক্যাটেশন বলা হয়। আয়নিক বন্ধন দুটি পরমাণুর মধ্যে চার্জের পার্থক্য থেকে শক্তি অর্জন করে, অর্থাৎ, ক্যাটেশন এবং আনয়নের মধ্যে চার্জের বৈষম্য যত বেশি হবে, আয়নিক বন্ধন তত শক্তিশালী হবে। ০ কোভেলেন্ট বন্ধনঃ একটি সমযোজী বন্ধনে পরমাণুর গুলো ইলেকট্রন ভাগাভাগি করে নেয়। যে যৌগগুলিতে কার্বন থাকে (জৈব যৌগও বলা হয়) সাধারণত এই ধরনের রাসায়নিক বন্ধন প্রদর্শন করে। দুটি পরমাণু দ্বারা ভাগ করা ইলেকট্রনের জোড়া এখন পরমাণুর নিউক্লিয়াসের চারপাশে প্রসারিত হয়ে একটি অণু সৃষ্টি করে। ০ পোলার বন্ধনঃ সমযোজী বন্ধন চুম্বকের মত মেরু বা অ-মেরু প্রকৃতির হতে পারে। মেরু সমযোজী রাসায়নিক বন্ধনে, ইলেকট্রনগুলি অসমভাবে ভাগ হয়ে থাকে। কারণ বেশি ইলেকট্রন-নেগেটিভ পরমাণু ইলেকট্রন জোড়াকে নিজের কাছে টেনে নেয় এবং কম ইলেক্ট্রোনেগেটিভ পরমাণু থেকে দূরে থাকে। জল যেমন একটি মেরু অণুর উদাহরণ।

পরমাণুর মধ্যে ইলেকট্রনের অসম ব্যবধানের কারণে পরমাণুর বিভিন্ন এলাকায় চার্জের পার্থক্য দেখা দেয়। অণুর এক প্রান্ত আংশিকভাবে ধনাত্মক চার্জিত হতে থাকে এবং অন্য প্রান্তটি আংশিকভাবে ঋণাত্মকভাবে চার্জিত হতে থাকে।

০ হাইড্রোজেন বন্ধনঃ আয়নিক এবং সমযোজী বন্ধনের তুলনায়, হাইড্রোজেন বন্ধন রাসায়নিক বন্ধনের একটি দুর্বল রূপ। এটি অক্সিজেন এবং হাইড্রোজেনের মধ্যে এক ধরণের পোলার সমযোজী বন্ধন, যেখানে হাইড্রোজেন একটি আংশিক ধনাত্মক চার্জ প্রকাশ করে। ফলে ইলেকট্রনগুলি আরও ইলেক্ট্রোনেগেটিভ অক্সিজেন পরমাণুর কাছাকাছি আকর্ষিত হয়। এটি কোনো প্রতিবেশী পরমাণুর ঋণাত্মক চার্জের প্রতি হাইড্রোজেনের আকৃষ্ট হওয়ার প্রবণতা তৈরি করে। এই ধরনের রাসায়নিক বন্ধনকে হাইড্রোজেন বন্ড বলা হয়।

বন্ধন দৈর্ঘ্যঃ রাসায়নিক বন্ধনের সময়, যখন পরমাণু একে অপরের কাছাকাছি আসে, তখন তাদের মধ্যে আকর্ষণ ঘটে এবং সিস্টেমের সম্ভাব্য শক্তি একটি নির্দিষ্ট দূরত্ব পর্যন্ত হ্রাস পেতে থাকে যেখানে সম্ভাব্য শক্তি সর্বনিম্ন। যদি পরমাণু কাছাকাছি আসে, বিকর্ষণ শুরু হয়, এবং আবার, সিস্টেমের সম্ভাব্য শক্তি বাড়তে শুরু করে।

এই আকর্ষন ও বিকর্ষনের টানাপোড়নে একটা ভারসাম্য দুরত্ব তৈরি হয়। ভারসাম্য দূরত্বে, পরমাণুগুলি তাদের গড় অবস্থানে কম্পিত হতে থাকে। দুটি বন্ধনযুক্ত পরমাণুর নিউক্লিয়াসের কেন্দ্রগুলির মধ্যে ভারসাম্য দূরত্বকে এর বন্ধন দৈর্ঘ্য বলা হয়।

প্রকৃতিতে বিভিন্ন মৌলিক পরমাণুগুলোর মধ্যে উপরোক্ত বন্ধন ইলেকট্রন চার্জের ফলে স্বয়ংক্রিয়ভাবে ঘটতে থাকে। কার্বন পরমাণুর কাঠামো অধিক সংখ্যক অন্যান্য মৌলিক পরমাণুদের বন্ধনে জড়িয়ে বিড়াট বিড়াট জৈব যৌগ গঠন করতে পারে। এগুলো জীবন গঠনের বিভিন্ন উপাদান।

জীবনের মূল উপাদান কার্বোহাইড্রেট, লিপিড, প্রোটিন ও নিউক্লিক এসিড এই ধরণের দীর্ঘ বা কুন্ডলায়িত কার্বন কাঠামোর বন্ধন।

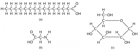
কার্বোহাইড্রেট কার্বনের এই ধরনেরই চেইন বা মালা বা পলিমার। যে একক দানা দিয়ে এই মালা তৈরি হয় তাদের মনোমার বলে। কার্বোহাইড্রেট পলিমারটি শর্করার মনোমার দিয়ে তৈরি। কার্বোহাইড্রেট তিনটি উপপ্রকারে শ্রেণীবদ্ধ করা হয়: মনোস্যাকারাইডস, ডিস্যাকারাইডস এবং পলিস্যাকারাইডস। মনোমারগুলো একটির সাথে আর একটি বন্ধনে যুক্ত হয়ে পলিমার মালা তৈরি করে।
মনোস্যাকারাইডস (মনো– = "এক"; স্যাকার– = "মিষ্টি") হল সাধারণ শর্করা, যার মধ্যে সবচেয়ে সাধারণ হল গ্লুকোজ। ডিহাইড্রেশন বিক্রিয়া, যখন দুটি মনোস্যাকারাইড একটি ডিহাইড্রেশন প্রতিক্রিয়ার মধ্য দিয়ে যায় তখন ডিস্যাকারাইড তৈরি হয়। এই প্রক্রিয়া চলাকালীন, একটি মনোস্যাকারাইডের হাইড্রোক্সিল গ্রুপ অন্য মনোস্যাকারাইডের হাইড্রোজেনের সাথে একত্রিত হয়, জলের একটি অণু মুক্ত করে এবং একটি সমযোজী বন্ধন তৈরি করে ।
পলিস্যাকারাডঃ সমযোজী বন্ধন দ্বারা সংযুক্ত মনোস্যাকারাইডের একটি দীর্ঘ শৃঙ্খল একটি পলিস্যাকারাইড হিসাবে পরিচিত। চেইন শাখাযুক্ত বা শাখাবিহীন হতে পারে এবং এতে বিভিন্ন ধরনের মনোস্যাকারাইড থাকতে পারে। পলিস্যাকারাইডগুলি খুব বড় অণু হতে পারে। স্টার্চ, গ্লাইকোজেন, সেলুলোজ এবং কাইটিন হল পলিস্যাকারাইডের উদাহরণ। কার্বোহাইড্রেট জীবন চক্রের আবদ্ধ সিস্টেমে শক্তির যোগান দেয়। এটা সিস্টেমের কঠিনত্বও প্রদান করে।


লিপিড বা ফসপোলিপিড হল আর একটি গুরুত্বপূর্ণ জৌব যৌগ। এই যৌগ আবরণ তৈরি করে। জীবনের আবদ্ধ সিস্টেম এই আবরণ দ্বারাই তৈরি। এই আবরণ বাইরের পরিবেশ থেকে ভিতরে ভিন্ন পরিবেশকে রক্ষা করে। ফসফোলিপিড হল প্লাজমা মেমব্রেনের প্রধান উপাদান। চর্বিগুলির মতো, তারা গ্লিসারল বা অনুরূপ কাঠামোর সাথে সংযুক্ত ফ্যাটি অ্যাসিড চেইন দ্বারা গঠিত। এতে দুটি ফ্যাটি অ্যাসিড রয়েছে এবং গ্লিসারল ব্যাকবোনের তৃতীয় কার্বনটি একটি ফসফেট গ্রুপের সাথে আবদ্ধ। কটি ফসফোলিপিডে হাইড্রোফোবিক এবং হাইড্রোফিলিক উভয় অঞ্চল রয়েছে। ফ্যাটি অ্যাসিড চেইনগুলি হাইড্রোফোবিক এবং নিজেদেরকে জল থেকে দূরে সরিয়ে রাখে। যেখানে ফসফেট হাইড্রোফিলিক এবং জলের সাথে মিথস্ক্রিয়া করে।

ফসফোলিপিডের ফ্যাটি অ্যাসিডগুলি জল থেকে দূরে, ভিতরের দিকে মুখ করে থাকে। যেখানে ফসফেট গ্রুপটি বাইরের পরিবেশ বা কোষের অভ্যন্তরের দিকে থাকতেপারে, যা উভয়ই জলীয়। চিত্রে লাল গোলাকার অংশটি মাথা যা পানির দিকে ভেসে থাকে। আর লম্বা অংশ দুটি লেজ যা পানি থেকে দূরে সরে থাকে। মাথাগুলো পরস্পর বন্ধনে আবদ্ধ হয়ে একটি সংযুক্ত স্তর তৈরি করে। লেজের অংশগুলো ভিতরে সরে যায় ফলে একটি দ্বিস্তর বিশিষ্ট আবরণে পরিণত হয়। এভাবে সজ্জিত হওয়ায় লেজের অংশ আর পানির সংস্পর্শে আসতে পারে না। জলীয় পরবেশে লিপিডগুলো পরস্পর সংযুক্ত হয়ে বেশ বড় আকারের থলে তৌরি করতে পারে। এই থলে বাইরের উন্মুক্ত পরিবেশ থেকে এর ভিতরের জলীয় পরিবেশ ও অন্যান্য উপাদানগুলোকে রক্ষা করে। ফলে থলেটি তার ভিতরের উপাদানগুলোকে নিয়ে একটি আবদ্ধ সিস্টেম গঠন করে।

আদি পৃথিবীর সমুদ্রের জলে মৌলিক পদার্থ গুলো রাসায়নিক বন্ধনে আবদ্ধ হয়ে আকারে বাড়তে থাকে। আবার জলের ঝাপটায় খন্ডিত হয়ে যায়। খন্ডাংশ গুলো আবার বাড়তে থাকে। আকারে ও সংখ্যায় বৃদ্ধি পেলেও এই চক্র জীবন চক্র নয়।

জীবন চক্র গঠনের জন্য আরো দুটি উপাদান হল প্রোটিন ও নিউক্লিক এসিড।

প্রোটিন: অ্যামিনো অ্যাসিড নামক মনোমার এবং পলিপেপটাইড নামক পলিমার দ্বারা প্রোটিন গঠিত। অ্যামিনো অ্যাসিড হল প্রোটিনের বিল্ডিং ব্লক এবং পলিপেপটাইড নামক লম্বা চেইন তৈরি করতে একসঙ্গে আবদ্ধ হতে পারে। পলিপেপটাইডগুলি একটি 3D কাঠামোতে ভাঁজ হয় যাকে প্রোটিন বলা হয়। প্রোটিনগুলিকে ভাঁজ করা পলিমার কাঠামো হিসাবে বিবেচনা করা হয়।
প্রোটিন হল জীবন্ত সিস্টেমের সবচেয়ে সহজ লভ্য জৈব অণুগুলির মধ্যে একটি। এতে সমস্ত ম্যাক্রোমোলিকিউলের কর্মকান্ডের সবচেয়ে বৈচিত্র্যময় পরিসর রয়েছে। প্রোটিন কাঠামোগত, নিয়ন্ত্রক, সংকোচনশীল বা প্রতিরক্ষামূলক হতে পারে। তারা পরিবহন, স্টোরেজ, বা ঝিল্লি হিসেবে কাজ করতে পারে। অথবা এগুলি টক্সিন বা এনজাইম হতে পারে। একটি জীবন্ত ব্যবস্থার প্রতিটি কোষে হাজার হাজার প্রোটিন থাকতে পারে, যার প্রতিটির একটি অনন্য কার্যকারিতা রয়েছে। তাদের গঠন, তাদের কাজের মত, ব্যাপকভাবে পরিবর্তিত হয়। এগুলি সবই অ্যামিনো অ্যাসিড পলিমারগুলির এক একটি রৈখিক ক্রমানুসারে সাজানো সজ্জা।(এটিকে "পেপটাইড"ও বলা হয়)।
উপরের চিত্রে দেখা যাচ্ছে, অ্যামিনো অ্যাসিডের একটি স্ট্র্যান্ড নিজের উপর ভাঁজ হয়ে প্রোটিনের তৃতীয় কাঠামোতে একটি অনন্য আকৃতি তৈরি করে। এটি অ্যামিনো অ্যাসিডের রাসায়নিক বৈশিষ্ট্যের কারণে ঘটে। অ্যামিনো অ্যাসিডের রাসায়নিক বৈশিষ্ট্যগুলি নির্ধারণ করে যে এই আকৃতিটি কীভাবে ঘটে।

উদাহরণস্বরূপ, প্রতিটি অ্যামিনো অ্যাসিড নেগেটিভ (-), পজিটিভ (+), বা নিরপেক্ষ(N) চার্জযুক্ত। নেগেটিভ চার্জযুক্ত অ্যামিনো অ্যাসিডগুলি পজিটিভ চার্জযুক্ত অ্যামিনো অ্যাসিডের সাথে বন্ধনে আবদ্ধ হয়। (নিরপেক্ষ চার্জযুক্ত অ্যামিনো অ্যাসিড প্রভাবিত হয় না)।

এছাড়াও, সিস্টাইন নামক অ্যামিনো অ্যাসিডটিতে সালফার থাকে এবং সালফার সহজেই একে অপরের সাথে আবদ্ধ হয়, একটি "ডিসালফাইড বন্ধন" তৈরি করে। এই কারণে, সিস্টাইনগুলি অন্যান্য সিস্টাইনের সাথে আবদ্ধ হয়।

জীবন চক্র সিস্টেমের আর একটি উপাদান নিউক্লিক এসিড: নিউক্লিক অ্যাসিডের মনোমার হল নিউক্লিওটাইড, যা তিনটি সাবইউনিট দিয়ে তৈরি: নাইট্রোজেন বেস, ফসফেট গ্রুপ এবং চিনির অংশ। নিউক্লিওটাইডের প্রকারের উপর নির্ভর করে নিউক্লিক অ্যাসিডের পলিমার ডিএনএ বা আরএনএ গঠিত হয়।

উপরে যে কয়টি উপাদান দেখানো হল অর্থাৎ কার্বোহাইড্রেট, লিপিড, প্রোটিন ও নিউক্লিক এসিড, এগুলো সবই রাসায়নিক জৈব যৌগ। ইলেকট্রন ও প্রোটনের চার্জের আকর্ষন বা বিকর্ষন বা আদান প্রদানের মাধ্যমে এরা মূলত কার্বন, হাইড্রোজেন, অক্সিজেন, নাইট্রোজেন ও ফসফরাস পরমানু বা অণু দ্বারা গঠিত। এদের দ্বারা গঠিত মনোমার দ্বারা আবার বিড়াট বিড়াট ত্রিমাত্রিক পলিমার গঠিত হয়। এদের গঠন প্রক্রিয়া স্বয়ংক্রিয় ও রাসায়নিক। রাসায়নিক বন্ধন দ্বারা ক্রমাগত ও নির্দিষ্ট ত্রিমাত্রিক ছাঁচে বৃদ্ধি পেলেও এরা জড় বস্তু। কিন্তু জীবন চক্র সিস্টেম এদের দ্বারাই তৈরি। এদের ধর্ম বা আচরণ জীবন চক্র সিস্টেমকে সক্রিয় রাখে। যেমন লিপিডের গঠন থলের মত হলে বাইরের জলীয় পরিবেশ থেকে এর ভিতরের জলীয় অংশ পৃথক ও সুরক্ষিত থাকে। কার্বোহাইড্রেটে থাকা শক্তি অন্যান্য উপাদানগুলোকে শক্তি যোগায়। প্রোটিন তার এমিনো এসিড দ্বারা বিভিন্ন সংস্করনে রূপান্তরিত হতে পারে। প্রোটিনের এইসব সংস্করণ বিভিন্ন আচরণের ত্রিমাত্রিক বস্তু গঠণ করে। লিপিড থলের ভিতরে প্রোটিনের আচরণ আবদ্ধ সিস্টেমটিতে বিভিন্ন সক্রিয়তা ও বৃদ্ধি ঘটায়। নিউক্লিক এসিড দ্বারা আরএনএ ও ডিওএন-এর ছাঁচ গঠিত হয়। এটা হলো একটা নির্দিষ্ট পেটার্নে সারিবদ্ধ বন্ধন। এই প্যাটার্ন ভাসমান মৌল ও নির্দিষ্ট মনোমারগুলোকে তার ছাঁচে যুক্ত করে নিজের অফুরন্ত প্রতিলিপি তৈরি করতে পারে। এই আচরণ লিপিড থলের অভ্যন্তরে হলে আবদ্ধ সিস্টেমটিরও নির্দিষ্ট ছাঁচে বৃদ্ধি ঘটে। জীবন চক্র সিস্টেমের অভ্যন্তরে উপরোক্ত উপাদানগুলোর স্বয়ংক্রিয় আচরণ একটি বহুমাত্রিক জটিল সমন্বিত আচরণ প্রকাশ করে সিস্টেমটিকে সর্বদা সক্রিয় রাখে। এই সক্রিয়তাকেই আমরা জীবন বলি। সমস্ত ঘটনাটি ঘটে জলীয় পরিবেশে, অক্সিজেন ও কার্বন-ডাই-অক্সাইডের উপস্থিতে এবং একটি সহনীয় তাপমাত্রার সীমানায়। এই শর্তগুলোর অনুপস্থিতি জীবন চক্রের উপাদানগুলোকে ভেঙে ফেলে, ফলে সিস্টেমটি নিষ্ক্রিয় হয়ে যায়।

মন্তব্য ৯ টি রেটিং +৪/-০

মন্তব্য (৯) মন্তব্য লিখুন

১| ৩০ শে জুলাই, ২০২৩ বিকাল ৩:১২

সাড়ে চুয়াত্তর বলেছেন: ফেরেশতারা আলোর তৈরি আর জীন জাতি আগুনের তৈরি। আল্লাহ কিসের তৈরি এটা কেউ জানে না।

২| ৩০ শে জুলাই, ২০২৩ বিকাল ৫:৩৮

রাজীব নুর বলেছেন: এগুলো তো বিজ্ঞানের কথা।
আমি জানতে চাই ধর্ম কি বলে?
আমি কার কথা বিশ্বাস করবো ধর্ম না বিজ্ঞান?

৩| ৩০ শে জুলাই, ২০২৩ সন্ধ্যা ৭:২৫

বুনোগান বলেছেন: বিজ্ঞান বিশ্বাসের ব্যাপার না।। এটা প্রমানিত জ্ঞান। যা আমরা দৈনন্দিন জীবনের সর্ব ক্ষেত্রে ব্যবহার করছি।। এই জ্ঞানের বাইরে কোন সমাজ নেই।

৪| ৩০ শে জুলাই, ২০২৩ রাত ৮:৩৪

কামাল১৮ বলেছেন: প্রথম মন্তব্যটির কোন উত্তর নাই।উত্তর না দেয়া ঠিক না।না জানলে বলবেন জানি না।সাচু ভাই,কুকংস্কার মুক্ত একজন ধর্মীয় ব্লগার।
প্রান কি বিবর্তনের ফসল নাকি আল্লামিয়া ফুকে দিয়েছেন মানব দেহে।গরু ছাগলের দেহে ফুকে দেয়ার কথা কোথাও নাই।কিন্তু এদেরও প্রান আছে।

৫| ৩০ শে জুলাই, ২০২৩ রাত ৯:৪৬

বুনোগান বলেছেন: প্রথম পোস্টটি আমার পোস্টের সাথে প্রাসঙ্গিক নয়।

৬| ৩০ শে জুলাই, ২০২৩ রাত ১০:৫৪

জ্যাক স্মিথ বলেছেন: এই পোস্ট'টি না পড়লে অন্যায় হবে, তাই আপাদত প্রিয়তে রাখলাম, পরে পড়তে হবে।

৩১ শে জুলাই, ২০২৩ ভোর ৬:৪৭

বুনোগান বলেছেন: ধন্যবাদ।

৭| ৩১ শে জুলাই, ২০২৩ রাত ১:২৯

সাড়ে চুয়াত্তর বলেছেন: এক সময় মৃত মানুষকে জীবন দেয়া যাবে। শেষ জমানায় দজ্জাল একজন মানুষকে হত্যা করে তাকে পুনরায় জীবন দেবে। সহি হাদিসে এই কথা আছে। এই দজ্জাল বলতে হয়তো আধুনিক বিজ্ঞানের সবচেয়ে বড় নেতাকে বুঝানো হয়েছে। বিজ্ঞান যখন আরও অনেক উন্নত হবে তখন এটা সম্ভব হতে পারে। কিন্তু দজ্জাল জীন বা ফেরেশতাকে ধরতে বা তৈরি করতে পারবে বলে মনে হয় না। জীন বা ফেরেশতা আপনার এই জীবন চক্র সিস্টেম মেনে চলে না। কিন্তু তারাও প্রাণী। তাই আমার মন্তব্যটা প্রাসঙ্গিক ছিল। যেটা কামাল ভাই বলেছেন।

আসলে প্রাণ আল্লাহতায়ালা ফুঁকে দিয়েছেন। মানুষ আসার আগেও প্রাণ ছিল। তাই আল্লাহতায়ালা একবারে ফুঁক দেন নাই সম্ভবত। আল্লাহতায়ালা 'কুন' বললেই হয়ে যায়। পশু পাখিদের ক্ষেত্রে আল্লাহর পক্ষ থেকে ফেরেশতারা ফুঁকে দিয়েছেন কি না সেটা অবশ্য আমার জানা নাই।

আসলে প্রতিটা বস্তুকণার নিজস্ব সত্ত্বা আছে। এদের এক ধরণের জীবন আছে। তবে এটা আমাদের জীবনের মত না। আল্লাহ বলেন, ‘সাত আসমান ও জমিন এবং এদের অন্তর্ভুক্ত সব সৃষ্টি তাঁর পবিত্রতা বর্ণনা করে। এমন কোনো জিনিস নেই, যা তাঁর সপ্রশংস তাসবিহ পাঠ করে না। কিন্তু তোমরা তাদের তাসবিহ পাঠ বুঝতে পারো না।’ (সুরা : বনি ইসরাঈল, আয়াত : ৪৪)

আধুনিক বিজ্ঞানও (কোয়ান্টাম বলবিদ্যা) এখন এই লাইনে চিন্তা ভাবনা করছে। এই প্রবন্ধ দুটি পড়তে পারেন। https://en.wikipedia.org/wiki/Quantum_mind
https://bigthink.com/hard-science/brain-consciousness-quantum-entanglement/

কোয়ান্টাম entanglement বিষয়টা এখনও বিজ্ঞানীদের কাছে বিস্ময়কর ঘটনা।

৩১ শে জুলাই, ২০২৩ সকাল ৮:১১

বুনোগান বলেছেন: আমি জীব বিজ্ঞানের বিষয় বস্তু নিয়ে আলোচনা করেছি, যে গুলো এখন পর্যন্ত প্রমাণিত জ্ঞান। জীন বা ফেরেসতা সম্পর্কে বিজ্ঞান এখনও কিছু জানে না, তাই সেটা এই আলোচনার বাইরে। কন্সাসনেস বা সচেনতা নিয়েও আমি এখানে কিছু আলোচনা করিনি। সচেনতা ও প্রাণ দুটি সম্পর্কিত হলেও সবক্ষেত্রে নয়। সচেনতা নিয়ে আমি পরের কোন পোস্টে আলোচনা করব ইচ্ছা আছে। সংগে থাকার জন্য ধন্যবাদ।

আপনার মন্তব্য লিখুনঃ

মন্তব্য করতে লগ ইন করুন

আলোচিত ব্লগ


full version

©somewhere in net ltd.